邮件: info@coremorrow.com
|
电话: 0451-86268790
中文
|
English
产品首页
压电陶瓷元件
压电陶瓷促动器
压电平移台
压电扫描台
压电偏摆台
压电控制器
压电马达
压电马达控制器
高精度测微仪/传感器
压电陶瓷片
超声/单层压电陶瓷
压电剪切片/叠堆
压电陶瓷扫描器
MFC压电纤维复合材料
叠堆压电陶瓷
环形叠堆压电陶瓷
柱形压电促动器
环形压电促动器
机构放大式促动器
一维压电纳米定位台
二维压电纳米定位台
三维压电纳米定位台
快速刀具定位器
压电宏微复合台
压电物镜定位器
一维中空式压电扫描台
二维中空式压电扫描台
三维中空式压电扫描台
压电显微扫描台定制
压电快反镜/偏转镜
压电偏摆台
压电旋转台
六自由度并联系统
产品配件
模块化压电陶瓷驱动电源
小体积压电控制器
集成式压电控制器
压电变形镜控制器
功率放大器
压电螺钉/平台
直线压电马达
角度压电马达
电容测微仪
电感测微仪
激光测微仪
产品应用
半导体技术
航天、图像处理、低温真空
生物科技与生命技术
天文、自适应光学
显微与成像
测量/激光技术/光学检测
数据存储技术
精密加工
纳米技术、纳米制造自动化
光电子、通信与集成光学
新药设计与医疗技术
服务中心
产品样册下载
使用手册下载
软件下载
压电技术
定制服务
新闻动态
荣誉/交流/活动
展会/新品/应用
关于芯明天
关于我们
企业声明
企业文化
历史客户
人才招聘
企业荣誉
联系我们
销售网络
联系我们
在线留言
官方微信
问题反馈
满意度调查
新闻动态
当前位置:
产品首页
>>
新闻动态
>>
展会/新品/应用
荣誉/交流/活动
展会/新品/应用
压电陶瓷刚度
更新时间:2021-02-07 15:57:05点击次数:3497次
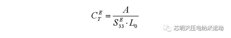
压电陶瓷可以被描述成具有恒定刚度系数的机械弹簧。刚度对于压电陶瓷的谐振频率和出力特性起着非常重要的作用。
陶瓷刚度与它的横截面积A成正比,陶瓷刚度随着陶瓷长度L
0
的增加而降低。
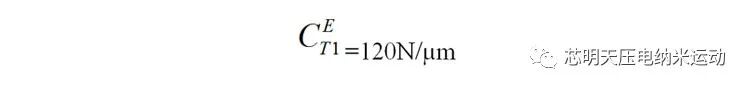
例:横截面积5×5mm
2
,长度为9mm的刚度为
横截面积不变,长度变为18mm,刚度则变为60N/µm。如果致动器的横截面积为10mm×10mm,长为18mm时,则刚度值为240N/μm。
但是以上的公式不能完全反馈实际情况,因为刚度还取决于如何使用(动态、静态操作),环境(负载、供电参数、小信号或大信号操作),这样可以改变两个或者更多的因素,因此这时候的公式仅能粗略的给出预期的性能。
然而实际情况下刚度还受到其他方面因素的影响,比如电极是如何连接的。如果电极没有连接,那么能量没有办法消耗,这时候刚度具有最大值。
A 短路连接 B开路连接
如一个10mm×10mm×20mm的压电陶瓷电极未短路时,刚度值约为450N/μm,而电极短路后,刚度值约为200N/μm。这是因为机械的压力会产生电荷负载,在电极短路时,电荷可以流动,从陶瓷块中消除。而在开路的情况下电荷保持在陶瓷中积累,机械操作使得电极处产生电压,这个相当于压电陶瓷内部产生了电场,这个电场使得压电陶瓷稳定,阻碍其压缩,因此开路时刚度较大。
结论
A
方式引线短接,相当于电压控制,机械产生的电荷相对流动来保持压电陶瓷两端的电压恒定,电荷被消耗。
B
方式引线开路,理论上相当于电荷或电流控制,机械力产生的电荷存留在压电陶瓷内,压电陶瓷电压随着负载力的变化而变化。
开路电流控制的优势主要在于动态位移控制。
更大的系统刚度可以通过闭环位置控制获得,相较于闭环控制,开路电流控制的响应速度更快。
封装压电陶瓷的刚度
参数表里的刚度数值是移动端受力损失的位移,通过移动端或前端壳体外螺纹与外部机械结构连接后,整体的刚度降低,因为力的传输包括了陶瓷和壳体,在理论分析时需要将这一点考虑进去。
系统整体的刚度取决于所有的机械部分:比较弱的点经常是设计中连接结合点。
放大机构促动器的刚度
机构放大式结构促动器整体的刚度会降低。
出力约为压电陶瓷出力的1/n,整体的刚度降低到大约1/(n×n) (基于陶瓷的原始参数),n为机构放大倍数。
**参数表里的刚度数值是小信号电压控制下测得的,一定要注意刚度有±20%的公差,参数表里的数值只用于理论分析。
不喜欢
不看的原因
确定
内容质量低
不看此公众号
上一篇:
叠堆压电陶瓷结构特点
下一篇:
压电纳米定位台用于硬盘测试
打印
产品首页
|
产品应用
|
服务中心
|
新闻动态
|
关于芯明天
|
联系我们
微信公众平台
扫一扫, 获取芯明天更多信息
地址:黑龙江省哈尔滨市南岗区学府路191号创业孵化产业园I2栋1层
电话:0451-86268790
压电 · 纳米 · 运动
Copyright @ 版权所有 哈尔滨芯明天科技有限公司
黑ICP备16009173号-1
纳米定位
纳米定位工作台
压电陶瓷控制器
压电陶瓷驱动电源
压电陶瓷