邮件: info@coremorrow.com
|
电话: 0451-86268790
中文
|
English
产品首页
压电陶瓷元件
压电陶瓷促动器
压电平移台
压电扫描台
压电偏摆台
压电控制器
压电马达
压电马达控制器
高精度测微仪/传感器
压电陶瓷片
超声/单层压电陶瓷
压电剪切片/叠堆
压电陶瓷扫描器
MFC压电纤维复合材料
叠堆压电陶瓷
环形叠堆压电陶瓷
柱形压电促动器
环形压电促动器
机构放大式促动器
一维压电纳米定位台
二维压电纳米定位台
三维压电纳米定位台
快速刀具定位器
压电宏微复合台
压电物镜定位器
一维中空式压电扫描台
二维中空式压电扫描台
三维中空式压电扫描台
压电显微扫描台定制
压电快反镜/偏转镜
压电偏摆台
压电旋转台
六自由度并联系统
产品配件
模块化压电陶瓷驱动电源
小体积压电控制器
集成式压电控制器
压电变形镜控制器
功率放大器
压电螺钉/平台
直线压电马达
角度压电马达
电容测微仪
电感测微仪
激光测微仪
产品应用
半导体技术
航天、图像处理、低温真空
生物科技与生命技术
天文、自适应光学
显微与成像
测量/激光技术/光学检测
数据存储技术
精密加工
纳米技术、纳米制造自动化
光电子、通信与集成光学
新药设计与医疗技术
服务中心
产品样册下载
使用手册下载
软件下载
压电技术
定制服务
新闻动态
荣誉/交流/活动
展会/新品/应用
关于芯明天
关于我们
企业声明
企业文化
历史客户
人才招聘
企业荣誉
联系我们
销售网络
联系我们
在线留言
官方微信
问题反馈
满意度调查
新闻动态
当前位置:
产品首页
>>
新闻动态
>>
展会/新品/应用
荣誉/交流/活动
展会/新品/应用
压电陶瓷动态特性
更新时间:2021-03-08 10:23:49点击次数:2918次
1.谐振频率
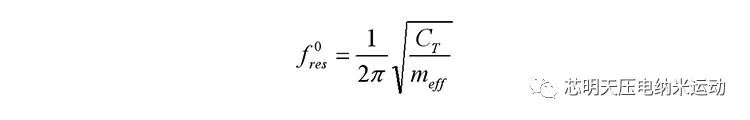
压电陶瓷是振荡的机械系统,特征可由谐振频率f
res
来表述。谐振频率是由陶瓷的刚度和质量分布(有效的运动质量)决定的。我公司陶瓷(非单层)的谐振频率最高可达100kHz。压电陶瓷的谐振频率反映的是陶瓷的响应时间,不能作为陶瓷的使用频率。谐振频率通常是在两端不固定且在很小的电压驱动信号下测得的,谐振频率可以通过下面公式计算得出:
(1.1)
m
eff
:压电陶瓷的有效质量
C
T
:压电陶瓷的刚度
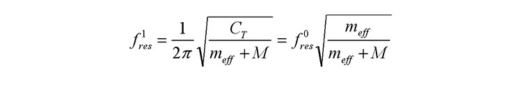
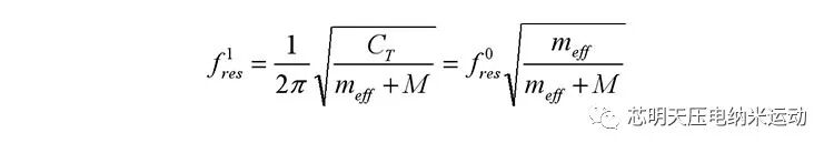
加载一个质量为M负载到陶瓷,此系统的谐振频率可以用下式表示:
(1.2)
这就是为什么加载之后的谐振频率与陶瓷本身的谐振频率有很大的偏差,这个是一个很重要的因素。
如果陶瓷在谐振频率点工作,那么振幅会比非谐振点高很多。
当接近谐振点工作的时候,即使给陶瓷非常低的电压也能达到非谐振情况下,超过最大电压下的位移。
但是我们建议陶瓷的使用频率要小于谐振频率的三分之一,同时还需要考虑动态过程中陶瓷的发热情况,从而减小陶瓷损坏、延长使用寿命。
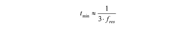
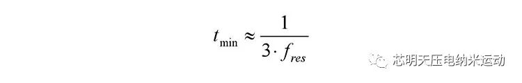
2.阶跃时间
由于压电陶瓷的谐振频率很高,压电陶瓷可以随着驱动电压的变化而快速的伸缩。目前已经广泛的应用到阀门和快门技术中。压电陶瓷的最快响应时间即压电陶瓷的伸长时间取决于压电陶瓷的谐振频率,一般为压电陶瓷谐振时间的1/3。
(2.1)
当给陶瓷施加一个短的电脉冲,陶瓷在其阶跃时间
t
min
内伸长。同时共振频率将被激发,陶瓷在其伸长位置的附近做阻尼振荡。更短的电脉冲只能使振幅更高,但不能缩短阶跃时间。下图显示了一个压电陶瓷在短脉冲电信号激励下,陶瓷的上升时间为600μs,谐振频率为560Hz。
3.动态力
在动态应用中,压电陶瓷的推力和拉力是同时存在的,推力远远大于拉力,也就是说压电陶瓷的抗压强度是非常高的,而拉力则对其影响很大。当压电陶瓷在动态应用时,两种力交替出现。即使没有外部负载,依然要考虑动态力。因此在动态应用中需要选择有预载力的陶瓷。
压电陶瓷正弦信号使用时,动态力估算公式为:
(3.1)
F
dyn
:动态出力
f:使用频率
∆l/2:振荡的幅度(∆l -陶瓷满行程)
m
eff
:有效质量
有效质量
m
eff
等于陶瓷本身质量的1/3加上负载的质量。
不喜欢
不看的原因
确定
内容质量低
不看此公众号
上一篇:
3D压电式样品定位台
下一篇:
一维大行程抗震动压电纳米定位台
打印
产品首页
|
产品应用
|
服务中心
|
新闻动态
|
关于芯明天
|
联系我们
微信公众平台
扫一扫, 获取芯明天更多信息
地址:黑龙江省哈尔滨市南岗区学府路191号创业孵化产业园I2栋1层
电话:0451-86268790
压电 · 纳米 · 运动
Copyright @ 版权所有 哈尔滨芯明天科技有限公司
黑ICP备16009173号-1
纳米定位
纳米定位工作台
压电陶瓷控制器
压电陶瓷驱动电源
压电陶瓷