
产品特点

|
|
|
|
|
|
|
|
|
|
|
E07 功率放大模块 ×1: E07 功率放大模块 ×1:该模块主要功能是将微弱的外部模拟输入信号或计算机通过 DA 给出的模拟信号或其它的控制信号,通过功 率放大模块内部的电压与功率放大电路将信号放大。
|
E09.S1 PZT 传感控制模块 ×1:
E09.S1 PZT 传感控制模块 ×1:该模块是给各类 PZT
或微动工作台等纳米定位机构中的传感器提供高精准、高稳定
性和高可靠性的激励信号,并检测和处理 PZT 或微动工作台
等纳米定位机构中的传感器信号,并将该传感器信号通过内部
的算法电路完成伺服控制。
|
E18.i1 显示与通信模块 ×1:
E18.i1 显示与通信模块 ×1:E18 系列为液晶显示与计
算机通信模块,具有测量和显示功率放大模块输出电压和 PZT
传感器控制模块的当前位移值、计算机接口接收和处理来自计
算机的控制命令、键盘、液晶和软件进行人机交互操作数字闭
环控制等功能。
|
|
随货线缆
|
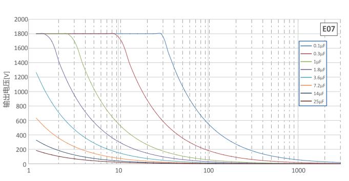
输出电压与频率曲线
|
| 技术参数 | ||
|
型号 |
E01.D1(E07模块,1000V) |
|
|
驱动模块 |
通道数 |
1 |
|
模拟输入范围 |
0~10V |
|
|
输出电压范围 |
0~1000V |
|
|
输出电压纹波 |
50mV |
|
|
电压稳定性 |
< 0.1%F.S.(满量程)/8hours |
|
|
模拟输入阻抗 |
100KΩ±20% |
|
|
空载满幅值带宽 |
3kHz |
|
|
平均电流 |
20mA |
|
|
峰值电流 |
500mA |
|
|
电压增益 |
100 |
|
|
调节旋钮 |
10圈 |
|
|
传感模块 |
传感器模式 |
SGS(可选LVDT、CAP) |
|
传感通道数 |
1 |
|
|
伺服特性 |
模拟P-I+陷波滤波 |
|
|
传感器接口 |
ERA.0S.304.CLL |
|
|
传感器输出接口 |
BNC |
|
|
传感器输出电压 |
0~10V |
|
|
工作温度范围 |
0~50℃ |
|
|
显示与通信模块 |
主控通道数 |
1 |
|
D/A 转换器 |
16Bit±10V( 可选 24Bit±10V) |
|
|
输出电压分辨率 |
满量程 1/30000 |
|
|
A/D 转换器 |
16Bit±10V |
|
|
薄膜键盘 |
15 按键 |
|
|
串口 /USB 通信接口 |
RS-232/422、USB |
|
|
波特率 |
9600、19200、38400、57600、76800、115200 、128000、230400、256000 |
|
|
输出波形频率 |
10kHz |
|
|
LCD 液晶屏 |
汉字显示 |
|
|
I/O 口 |
1~3 个,用户可设置为输入或输出方式,MDR14 连接器 |
|
|
液晶键盘控制功能 |
输出与测量电压和位移、自发波形、选择功能、设定参数 |
|
|
液晶键盘自发波形 |
正弦波、方波、三角波、锯齿波 |
|
|
上位机软件控制功能 |
输出与测量电压和位移、波形控制、选择功能、设定参数 |
|
|
上位机软件波形控制 |
可编程波形输出,标准波形输出 |
|
|
二次开发 |
VC++、Matlab、LabView 使用例程和 DLL 动态链接库函数等,方便二次开发 |
|
|
工作温度范围 |
0~50℃ |
|
|
机箱与供电模块 |
供电模式 |
AC 220V±10%,50Hz±10% |
|
电流限制 |
短路保护 |
|
|
长×高×深 |
280×175×375mm |
|
|
功能表 |
基本控制方式 |
手动旋钮调节、外部模拟输入、计算机串口 /USB 接口、自发波形控制 |
|
|
|||||||||||||||||||||||||||
问题解决办法

|
零点偏置导致压电产品无法闭环的鉴别与解决方法
|
应用案例

|
超声波气体检测
|
超声悬浮
|


