
位移ΔL 0 : 是压电陶瓷产生的位移,这个数值是在空载条件下测得,即在压电陶瓷产生位移过程中不受任何阻力。对陶瓷施加电压后,测得相应位移。出力F max :是压电陶瓷产生的最大出力,这个数值是压电陶瓷在位移为0时,测得的出力,即抵抗大刚度负载的推力。
假设把陶瓷固定在两面墙之间,施加最大电压给压电陶瓷,由于两面墙的刚度很大,压电陶瓷无法伸长,位移为零,这时的出力为最大出力。但是事实上,任何物体都会表现出一定的弹性模量。
当外部机械结构的刚度为零时,给压电陶瓷加最大电压,压电陶瓷产生最大的位移。这时出力为零。出力与位移的关系如左图所示。
只要外部连接机械结构存在刚度,则陶瓷的位移就一定会有损失,位移损失的大小取决于外部机械结构的刚度,外部机械结构刚度越大,损失的位移也就越大,当外部机械结构的刚度与陶瓷的刚度相同时,位移与出力为最大位移与最大出力的一半,陶瓷能效得到最大的利用。
下图为压电陶瓷在不同受力的情况下产生位移的关系图
|
|
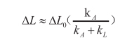
无预载力低刚度负载力条件下:
ΔL:位移 受到变力时,压电陶瓷的位移会有一定的损失,具体损失大小取决于外部机械弹簧的刚度。 |
|
无预载力大刚度负载条件下:
F eff :有效出力 当要产生更大的出力时,负载的刚度要大于陶瓷的刚度 |
|
|
恒定负载力条件下: 负载为恒定力时,压电陶瓷将被压缩(压缩量取决于陶瓷的刚度及负载力的大小),施加标称电压,压电陶瓷在被压缩后的基础上伸长标称位移。
|
|
|
有预载力低刚度条件下: 有预载力的低刚度负载, 由于预紧力会像重物压陶瓷一样致使陶瓷被压缩一定位移,且由于负载一定刚度的结构会使陶瓷损失部分位移。因此负载的刚度一定要比陶瓷的刚度小一个数量级。 |


